One of my favorite assignments in college was to compile an ingredient notebook. We had to look at ingredient labels, pick out ingredients we didn’t know, and find out what they were. It was amazing how much I learned from such a simple activity. In a few months I was able to identify most ingredients and know why they were included. Ingredients like BHT and carrageenan were no longer unknown oddities but common ingredients. In continuation of that tradition, this post is all about guar gum.
The Plant

Guar gum comes from the ground endosperm of a plant called cluster bean or guar. Its botanical name is cyamopsis tetragonolobus and it is a member of the bean family. Guar has been cultivated in India and Pakistan for many centuries. It is a green manure plant, meaning it helps replenish the nitrate concentration in the soil. So the crop that is planted after guar in a crop rotation cycle grows better.
The Gum
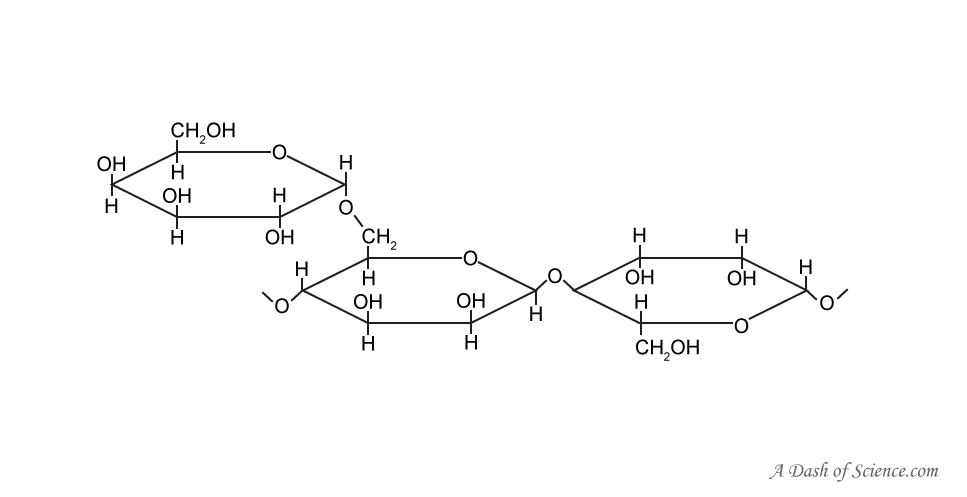
In the 1950’s it was discovered that the ground endosperm of the guar bean could be used as a food gum. Just to clarify, this type of gum is not chewing gum. Gums like guar gum, gum arabic, and xanthan gum are actually polysaccharides. Guar gum is made of galactomannans which includes forms of galactose and mannose, two simple sugars. The mannose make up the backbone chain and galactose branch off of it.

Uses
Guar gum doesn’t form a gel like some other gums do, but it is a great thickener, emulsifier, and stabilizer. When the gum is put into water the chains disperse, swell, and take up a lot of space which thickens the fluid. It is like starch, except that it thickens 5 to 8 times more.
In ice cream guar gum acts as a stabilizer. Ice cream has a tendency to become coarse and grainy over time. This happens because ice crystals grow larger during the freeze-thaw cycle of a refridgerator. During the thawing part, ice melts a little and flows. That water runs into another ice crystal and refreezes during the freezing part of the cycle, creating a larger ice crystal. Stabilizers like guar gum hinder water flow because they make the ice cream mix thicker and bind water. The stabilizers don’t prevent the grainy texture indefinitely, but they do keep the ice cream smooth for much longer than normal.
Guar gum is also commonly included in salad dressings, glazes, confections, fruit drinks, baked goods, and cream cheese. What foods do you find guar gum in?
Photo: LOGANATHAN.R, Alessandro Paiva
Sources:
- A Consumer’s Dictionary of Food Additivies by Ruth Winter, 7th ed
- Fennema’s Food Chemistry edited by Srinivasan Damodaran, Kirk L. Parkin, and Owen R. Fennema, 4th ed
- Foods: A Scientific Approach by Helen Charley and Connie Weaver, 3th ed
- On Food and Cooking: The Science and Lore of the Kitchen by Harold McGee, 2004
- The Oxford Companion to Food by Alan Davidson, 1999
